Phòng Quản Lý đào tạo
Department of Training Administration
VIE
VIE
ENG
Giới thiệu
Giới thiệu chung
Chức năng - nhiệm vụ
Cơ cấu tổ chức
Tin tức
Tin hoạt động
Thông báo
Thông báo của đối tượng Đào tạo từ xa
Tuyển sinh
Tốt nghiệp
Quy định thực tập và làm tốt nghiệp
Danh sách đi thực tập tốt nghiệp
Đánh giá đạt chuẩn đầu ra của sinh viên
Danh sách tốt nghiệp
Chương trình đào tạo
Chương trình đào tạo IPOP
Chương trình đào tạo chuẩn
Chương trình chất lượng cao
Chương trình định hướng nghề nghiệp
Chương trình tích hợp
Chương trình đào tạo từ xa
Kế hoạch đào tạo
Kế hoạch học tập toàn khoá
Kế hoạch năm học
Danh sách học phần tương đương, thay thế
Thời khóa biểu
Lịch thi
Thông báo đợt đánh giá chuẩn đầu ra
Thông báo đăng ký học tập
Khác
Quản lý học vụ
QUY CHẾ - QUY ĐỊNH ĐÀO TẠO
Các biểu mẫu
Albums ảnh
Video clips
Giới thiệu
Giới thiệu chung
Chức năng - nhiệm vụ
Cơ cấu tổ chức
Tin tức
Tin hoạt động
Thông báo
Thông báo của đối tượng Đào tạo từ xa
Tuyển sinh
Tốt nghiệp
Quy định thực tập và làm tốt nghiệp
Danh sách đi thực tập tốt nghiệp
Đánh giá đạt chuẩn đầu ra của sinh viên
Danh sách tốt nghiệp
Chương trình đào tạo
Chương trình đào tạo IPOP
Chương trình đào tạo chuẩn
Chương trình chất lượng cao
Chương trình định hướng nghề nghiệp
Chương trình tích hợp
Chương trình đào tạo từ xa
Kế hoạch đào tạo
Kế hoạch học tập toàn khoá
Kế hoạch năm học
Danh sách học phần tương đương, thay thế
Thời khóa biểu
Lịch thi
Thông báo đợt đánh giá chuẩn đầu ra
Thông báo đăng ký học tập
Khác
Quản lý học vụ
QUY CHẾ - QUY ĐỊNH ĐÀO TẠO
Các biểu mẫu
Albums ảnh
Video clips
Đào tạo & QLSV
Quay trở lại danh sách
Đào tạo & QLSV
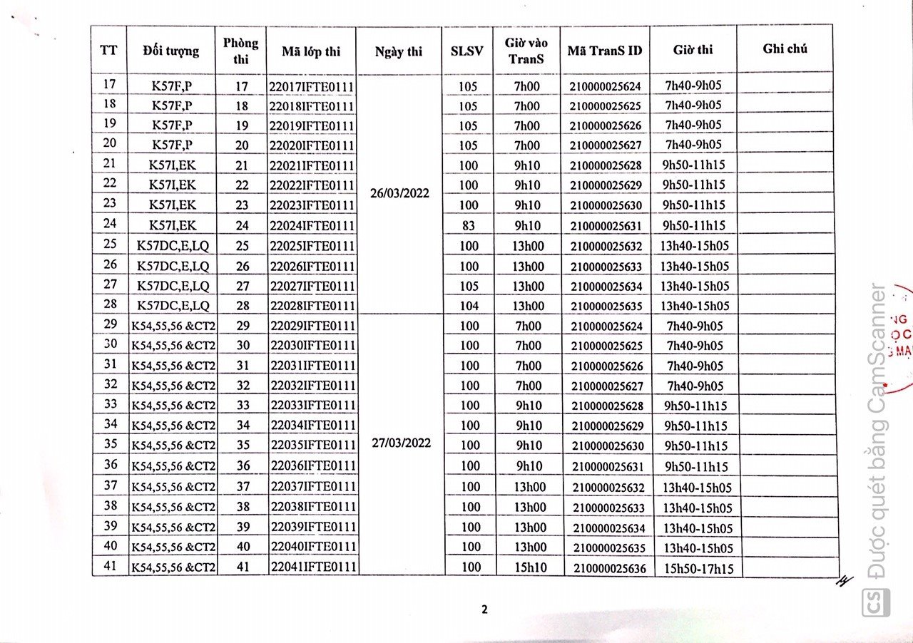
LỊCH THI TRỰC TUYẾN ĐÁNH GIÁ CHUẨN KỸ NĂNG SỬ DỤNG CNTT ĐỢT 1 THÁNG 03 NĂM 2022
Chia sẻ:
15/03/2022
Thông báo lịch thi trực tuyến đánh giá chuẩn kĩ năng sử dụng CNTT đợt 1 tháng 3 năm 2022.
Bài viết liên quan
Đào tạo & QLSV
Đề cương các học phần trong Chương trình đào tạo trình độ đại học ngành Thương mại điện tử
05/08/2022
Thông báo
NHỮNG ĐIỀU CẦN BIẾT VỀ KHOA HỆ THỐNG THÔNG TIN KINH TẾ VÀ THƯƠNG MẠI ĐIỆN TỬ
05/05/2024
Thông báo
CHỈ TIÊU TUYỂN SINH KHOA HỆ THỐNG THÔNG TIN KINH TẾ VÀ THƯƠNG MẠI ĐIỆN TỬ NĂM 2024
31/05/2024